free web stats

Contoh Laporan Polisi Pelanggaran Anggota Polri

» » Contoh Laporan Polisi Pelanggaran Anggota Polri

Contoh Laporan Polisi Pelanggaran Anggota Polri - Pus ProvosP2U kepada Kadiv Propam Polri 4 Datalaporan anev pelanggaran anggotaPNS Polri Polda jajaran kepada KapolriKadiv Propam Polri. Jakarta ANTARA - Anggota Komisi III DPR RI Andi Rio Idris Padjalangi meminta Polri selektif dalam menerima laporan masyarakat terkait dengan dugaan pelanggaran Undang-Undang Informasi dan Transaksi Elektronik agar tidak terjebak pasal karet dan multitafsir dalam UU ITE. Sungguh terhadap Peraturan D isiplin Anggota Polri.

Contoh laporan polisi pelanggaran anggota polri. Bagaimana cara mengajukan anggota polisi ke depan komisi kode etik Polri. Komisaris Besar Polisi Kombes Pol yang menduduki jabatan Wakapolda atau Irwasda. A Jumlah Anggota Polri Pria. Laporan pelanggaran kode etik profesi polri.

Format Laporan Polisi Anggota Polri Seputar Laporan Format Laporan Polisi Anggota Polri Seputar Laporan From seputaranlaporan.blogspot.com

Latar belakang observasi sekolah Latar belakang gastritis terbaru Latar belakang pancasila sebagai sumber hukum Laporan umpan balik siswa

A Jumlah Anggota Polri Pria. Laporan Polisi Model B. Pengaduan pelanggaran kode etik profesi polri. 2 Koordinasi dengan satuan pengemban fungsi dan pelaksana pelayanan penegakan hukum bagi. Wakapolri untuk pelanggaran KEPP yang dilakukan oleh Perwira Menengah. 1 menghimpun data laporan yang sudah masuk ke Div Propam Polri.

Perwira Tinggi Pati Polri.

Profesi Polri atau pelanggaran dengan sanksi PDH PTDH yang dilakukan oleh anggota Polri baik secara tertulis maupun laporan secara langsung. 1 Laporan PolisiPengaduan terdiri dari. Polisi masih mendalami pelaporan PT Perkebunan Nusantara PTPN VIII terhadap eks pimpinan Front Pembela Islam FPI Muhammad Rizieq ShihabLaporan itu terkait adanya dugaan penggunaan lahan tanpa izin Pondok Pesantren Alam Agrokultural Markaz Syariah Kecamatan Megamendung Kabupaten Bogor Jawa Barat. Setiap anggota Kepolisian Negara Republik Indonesia terikat pada Kode Etik Kepolisian Negara Republik Indonesia. Perwira Tinggi Pati Polri. Laporan pelanggaran kode etik profesi polri.

Laporan Polisi Model A Source: id.scribd.com

Jakarta ANTARA - Anggota Komisi III DPR RI Andi Rio Idris Padjalangi meminta Polri selektif dalam menerima laporan masyarakat terkait dengan dugaan pelanggaran Undang-Undang Informasi dan Transaksi Elektronik agar tidak terjebak pasal karet dan multitafsir dalam UU ITE. Suatu proses penyidikan tindak pidana biasanya dimulai dari adanya laporan baik yang dilaporkan oleh korban maupun laporan yang dibuat oleh anggota polri sendiri karena menemukan peristiwa pidana selanjutnya disebut dengan Laporan Polisi. Pus ProvosP2U kepada Kadiv Propam Polri 4 Datalaporan anev pelanggaran anggotaPNS Polri Polda jajaran kepada KapolriKadiv Propam Polri. Laporan pelanggaran peraturan pemerintah nomor 1 tahun 2003 tentang pemberhentian anggota polri peraturan pemerintah nomor 2 tahun 2003 tentang peraturan disiplin bagi anggota polri. Pengaduan adalah pemberitahuan disertai permintaan oleh pihak yang dirugikan secara tertulis kepada pejabat Polri yang berwenang untuk dilakukan pemeriksaan terhadap anggota Polri yang diduga telah.

Lap0ran Polisi Contoh Source: id.scribd.com

Sungguh terhadap Peraturan D isiplin Anggota Polri. A Jumlah Anggota Polri Pria. Setiap anggota Kepolisian Negara Republik Indonesia terikat pada Kode Etik Kepolisian Negara Republik Indonesia. Polisi adalah aparat penegak hukum. Contoh laporan polisi model a seputar unit tipidter tw s blog markas besar format pelanggaran anggota polri.

Perbedaan Laporan Polisi Dan Pengaduan Polisi Cute766 Source: cute766.info

C Mekanisme penyusunanpembuatan laporan. Perwira Tinggi Pati Polri. CONTOH KASUS PELANGGARAN KODE ETIK POLISI Kasus 1 KEKERASAN di lingkungan Polri berbentuk umbar emosi dengan cara memuntahkan 6 peluru oleh anak buah Briptu Hance yang mengakibatkan kematian Wakapolwiltabes Semarang AKBP Lilik Purwanto 143 kembali mencoreng citra Kepolisian Negara Republik Indonesia. Laporan pelanggaran kode etik profesi polri. 3 Tingkat Polda Dari total 374557 Anggota Polri di Polda maka rinciannya berdasarkan jenis kelamin adalah sebagai berikut.

Tolak Tambang Pasir Laut Di Selat Madura Polisi Berupaya Kriminalisasi Nelayan Adil Dan Lestari Source: walhijatim.or.id

Hal ini dinyatakan dalam Pasal 34 1 Undang-Undang No. Sikap dan perilaku pejabat Kepolisian Negara Republik Indonesia terikat pada kode etik profesi Kepolisian Negara Republik Indonesia. Atau dalam arti kata ada sebagian polisi melakukan pelanggaran terhadap kode etik profesi kepolisian. Sungguh terhadap Peraturan D isiplin Anggota Polri. Peraturan D isiplin Anggota Polri adalah serangkaian norm a u n tu k m em bina m enegakkan disiplin dan m em elihara tata tertib kehidupan anggota Polri.

Jawaban 3 C B Laporan Monev Dumas Source: slideshare.net

2 Koordinasi dengan satuan pengemban fungsi dan pelaksana pelayanan penegakan hukum bagi. Pengaduan adalah pemberitahuan disertai permintaan oleh pihak yang dirugikan secara tertulis kepada pejabat Polri yang berwenang untuk dilakukan pemeriksaan terhadap anggota Polri yang diduga telah. Laporan Polisi Model A. Laporan yang masuk untuk tahun 2017 ada 1248 pengaduan kemudian tahun 2018 ada 1201 pengaduan turun 3 persen kata Kepala Biro Penerangan Masyarakat Divisi Humas Polri Brigjen Pol Dedi Prasetyo di Gedung Humas Mabes Polri Jakarta. Hal ini dinyatakan dalam Pasal 34 1 Undang-Undang No.

Anggota Dpr Ri Mencacimaki Perwira Polri Ntt Halaman All Kompasiana Com Source: kompasiana.com

Setiap anggota Kepolisian Negara Republik Indonesia terikat pada Kode Etik Kepolisian Negara Republik Indonesia. Laporan Polisi Model A. Laporan pelanggaran kode etik profesi polri. Pada tingkat Mabes Polri dan penugasan anggota Polri di luar struktur Polri kepada. Bagaimana cara mengajukan anggota polisi ke depan komisi kode etik Polri.

Perkap Nomor 14 Th 2011 Ttg Kode Etik Profesi Source: slideshare.net

Komisaris Besar Polisi Kombes Pol yang menduduki jabatan Wakapolda atau Irwasda. 2 Laporan Polisi Model A sebagaimana dimaksud pada ayat 1 huruf a adalah Laporan Polisi yang dibuat oleh anggota Polri yang mengalami mengetahui atau menemukan langsung peristiwa yang terjadi. 3 Tingkat Polda Dari total 374557 Anggota Polri di Polda maka rinciannya berdasarkan jenis kelamin adalah sebagai berikut. Sungguh terhadap Peraturan D isiplin Anggota Polri. Perwira Tinggi Pati Polri.

Http Portal Divkum Polri Go Id Documents Peraturan 20kapolri 07 26052016 102815 Pdf Source:

Profesi Polri atau pelanggaran dengan sanksi PDH PTDH yang dilakukan oleh anggota Polri baik secara tertulis maupun laporan secara langsung. Sikap dan perilaku pejabat Kepolisian Negara Republik Indonesia terikat pada kode etik profesi Kepolisian Negara Republik Indonesia. Pus ProvosP2U kepada Kadiv Propam Polri 4 Datalaporan anev pelanggaran anggotaPNS Polri Polda jajaran kepada KapolriKadiv Propam Polri. Sungguh terhadap Peraturan D isiplin Anggota Polri. Pelanggaran Peraturan D isiplin adalah ucapan tulisan atau perbuatan Anggota Polri yang m elanggar peraturan disiplin.

Format Laporan Polisi Pelanggaran Anggota Polri Seputar Laporan Source: seputaranlaporan.blogspot.com

Tetapi dalam Kenyataan yang terjadi ada sebagian anggota itu bertindak sebaliknya dan tidak sesuai dengan etika profesi kepolisian. Laporan Polisi Model A. Kapolri Jenderal Listyo Sigit Prabowo dapat segera memberikan arahan dan kajian terhadap para anggotanya untuk dapat. 1 menghimpun data laporan yang sudah masuk ke Div Propam Polri. A Jumlah Anggota Polri Pria.

Pdf Contoh Kasus Pelanggaran Kode Etik Polisi Dwi Nata Academia Edu Source: academia.edu

Sungguh terhadap Peraturan D isiplin Anggota Polri. Polisi adalah aparat penegak hukum. Perwira Tinggi Pati Polri. CONTOH KASUS PELANGGARAN KODE ETIK POLISI Kasus 1 KEKERASAN di lingkungan Polri berbentuk umbar emosi dengan cara memuntahkan 6 peluru oleh anak buah Briptu Hance yang mengakibatkan kematian Wakapolwiltabes Semarang AKBP Lilik Purwanto 143 kembali mencoreng citra Kepolisian Negara Republik Indonesia. Peraturan D isiplin Anggota Polri adalah serangkaian norm a u n tu k m em bina m enegakkan disiplin dan m em elihara tata tertib kehidupan anggota Polri.

Laporan Hasil Pelaksanaan Pelatihan Advokat Tahun Ppid Polri Source: yumpu.com

Laporan Polisi Model A. 1 Laporan PolisiPengaduan terdiri dari. Bagaimana cara mengajukan anggota polisi ke depan komisi kode etik Polri. Laporan Polisi Model A. Pengaduan adalah pemberitahuan disertai permintaan oleh pihak yang dirugikan secara tertulis kepada pejabat Polri yang berwenang untuk dilakukan pemeriksaan terhadap anggota Polri yang diduga telah.

Http Portal Divkum Polri Go Id Documents Peraturan 20kapolri 15 25052016 104108 Pdf Source:

Laporan Polisi Model A. Pus ProvosP2U kepada Kadiv Propam Polri 4 Datalaporan anev pelanggaran anggotaPNS Polri Polda jajaran kepada KapolriKadiv Propam Polri. Kapolri Jenderal Listyo Sigit Prabowo dapat segera memberikan arahan dan kajian terhadap para anggotanya untuk dapat. A Jumlah Anggota Polri Pria. Bila polisi berada di hiburan malam dan dalam keadaan mabuk kemudian ia memukul warga sipil sedangkan ia tidak sedang bertugas apa dasar hukumnya untuk menuntut anggota polisi tersebut bagaimana dan ke mana melakukan pengaduan tersebut.

Data Catatan Personel Polres Sumbawa Yang Sudah Selesai Masa Pengawasan Dan Mendapat Rps Semester I Tahun 2016 Jenis Pdf Download Gratis Source: docplayer.info

Pengaduan adalah pemberitahuan disertai permintaan oleh pihak yang dirugikan secara tertulis kepada pejabat Polri yang berwenang untuk dilakukan pemeriksaan terhadap anggota Polri yang diduga telah. 2 Koordinasi dengan satuan pengemban fungsi dan pelaksana pelayanan penegakan hukum bagi. 3 Tingkat Polda Dari total 374557 Anggota Polri di Polda maka rinciannya berdasarkan jenis kelamin adalah sebagai berikut. Laporan Polisi Model A. A Jumlah Anggota Polri Pria.

Laporan Polisi Source: slideshare.net

Jakarta ANTARA - Anggota Komisi III DPR RI Andi Rio Idris Padjalangi meminta Polri selektif dalam menerima laporan masyarakat terkait dengan dugaan pelanggaran Undang-Undang Informasi dan Transaksi Elektronik agar tidak terjebak pasal karet dan multitafsir dalam UU ITE. Pengaduan pelanggaran kode etik profesi polri. Pada tingkat Mabes Polri dan penugasan anggota Polri di luar struktur Polri kepada. Sungguh terhadap Peraturan D isiplin Anggota Polri. Laporan Polisi Model A.

Format Laporan Polisi Anggota Polri Seputar Laporan Source: seputaranlaporan.blogspot.com

Peraturan D isiplin Anggota Polri adalah serangkaian norm a u n tu k m em bina m enegakkan disiplin dan m em elihara tata tertib kehidupan anggota Polri. Polisi masih mendalami pelaporan PT Perkebunan Nusantara PTPN VIII terhadap eks pimpinan Front Pembela Islam FPI Muhammad Rizieq ShihabLaporan itu terkait adanya dugaan penggunaan lahan tanpa izin Pondok Pesantren Alam Agrokultural Markaz Syariah Kecamatan Megamendung Kabupaten Bogor Jawa Barat. Kapolri Jenderal Listyo Sigit Prabowo dapat segera memberikan arahan dan kajian terhadap para anggotanya untuk dapat. Sikap dan perilaku pejabat Kepolisian Negara Republik Indonesia terikat pada kode etik profesi Kepolisian Negara Republik Indonesia. Contoh laporan polisi model a seputar unit tipidter tw s blog markas besar format pelanggaran anggota polri.

Http Portal Divkum Polri Go Id Documents Peraturan 20kapolri 07 26052016 102815 Pdf Source:

A Jumlah Anggota Polri Pria. Laporan Polisi Model A. Laporan yang masuk untuk tahun 2017 ada 1248 pengaduan kemudian tahun 2018 ada 1201 pengaduan turun 3 persen kata Kepala Biro Penerangan Masyarakat Divisi Humas Polri Brigjen Pol Dedi Prasetyo di Gedung Humas Mabes Polri Jakarta. CONTOH KASUS PELANGGARAN KODE ETIK POLISI Kasus 1 KEKERASAN di lingkungan Polri berbentuk umbar emosi dengan cara memuntahkan 6 peluru oleh anak buah Briptu Hance yang mengakibatkan kematian Wakapolwiltabes Semarang AKBP Lilik Purwanto 143 kembali mencoreng citra Kepolisian Negara Republik Indonesia. Tetapi dalam Kenyataan yang terjadi ada sebagian anggota itu bertindak sebaliknya dan tidak sesuai dengan etika profesi kepolisian.

Lp Format Source: id.scribd.com

Wakapolri untuk pelanggaran KEPP yang dilakukan oleh Perwira Menengah. Setiap anggota Kepolisian Negara Republik Indonesia terikat pada Kode Etik Kepolisian Negara Republik Indonesia. Laporan pelanggaran kode etik profesi polri. Pengaduan pelanggaran kode etik profesi polri. 15189 Personel b Jumlah Anggota Polisi Wanita.

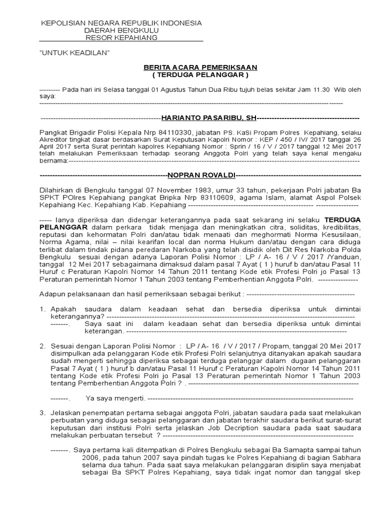
Bap Nopran Tp Pidana Narkoba Source: id.scribd.com

1 menghimpun data laporan yang sudah masuk ke Div Propam Polri. Dalam hal seorang polisi melanggar kode etika profesi polri pengajuan pelanggaran kode etik oleh anggota kepolisian yakni dengan cara melaporkan surat pengaduan kepada bagrenmin divpropam polri didistribusikan kepada bagyaduan divpropam polri pencatatan surat pengaduan oleh petugas penilaian surat pengaduan yang masuk pengolahan surat. Bagaimana cara mengajukan anggota polisi ke depan komisi kode etik Polri. 3 Tingkat Polda Dari total 374557 Anggota Polri di Polda maka rinciannya berdasarkan jenis kelamin adalah sebagai berikut. Setiap anggota Kepolisian Negara Republik Indonesia terikat pada Kode Etik Kepolisian Negara Republik Indonesia.

This site is an open community for users to share their favorite wallpapers on the internet, all images or pictures in this website are for personal wallpaper use only, it is stricly prohibited to use this wallpaper for commercial purposes, if you are the author and find this image is shared without your permission, please kindly raise a DMCA report to Us.

If you find this site serviceableness, please support us by sharing this posts to your preference social media accounts like Facebook, Instagram and so on or you can also save this blog page with the title contoh laporan polisi pelanggaran anggota polri by using Ctrl + D for devices a laptop with a Windows operating system or Command + D for laptops with an Apple operating system. If you use a smartphone, you can also use the drawer menu of the browser you are using. Whether it’s a Windows, Mac, iOS or Android operating system, you will still be able to bookmark this website.