free web stats

Laporan Praktikum Titrasi Asam Basa Larutan Naoh Dan Hcl

» » Laporan Praktikum Titrasi Asam Basa Larutan Naoh Dan Hcl

Laporan Praktikum Titrasi Asam Basa Larutan Naoh Dan Hcl - 40 12 gram 1 Timbang NaOH kristal sebanyak 12 gr pada neraca 2 Masukkan kristal NaOH pada gelas kimia 3 Tambahkan aquades hingga 1000 ml 4 Masukkan kedalam labu ukur 2. Pada titrasi ini merupakan kebalikan dari asidi-alkalimetri karena larutan yang digunakan untuk menentukan asam disini adalah basaTitirasi asam-basa merupakan cara yang tepat dan mudah untuk menentukan jumlah senyawa-senyawa yang bersifat asam dan basa. Titrasi merupakan suatu metode untuk menentukan kadar suatu zat dengan menggunakan zat lain yang sudah diketahui konsentrasinya.

Laporan praktikum titrasi asam basa larutan naoh dan hcl. Mahasiswa dapat menentukan konsentrasi larutan HCl dan CH₃COOH dengan NaOH. Sedangkan titik akhir adalah keadaan dimana titrasi dihentikan keadaan ini mudah diamati yaitu pada saat terjadinya perubahan warna pada larutan. Asam didefinisikan sebagai senyawa yang mengandung hidrogen yang bereaksi dengan basa. Titrasi asam basa adalah suatu prosedur untuk menentukan kadar pH suatu larutan asambasa berdasarkan reaksi asam basa.

Laporan Praktikum Titrasi Asam Basa Laporan Praktikum Titrasi Asam Basa From id.scribd.com

Jelaskan pengertian pancasila sebagai sistem filsafat dan ideologi negara Format laporan stok barang excel Judul makalah tentang kesehatan masyarakat Format laporan pt3 2019

Proses titrasi dilakukan dengan menuangkanlarutan NaOH kedalam buret sebanyak 255 ml kemudian memasukan larutan HCl kedalam gelas kimia dan dicampur dengan phenolphtalein sbanyak 6 tetes yang diteteskan mengunakan pipet tetes. Adapun bahan yang digunakan dalam praktikum sifat asam dan basa senyawa yaitu. Laporan praktikum kimia titrasi asam basa. Titrasi asam-basa adalah proses titrasi yang menggunakan asam basa sebagai zat yang akan dititrasi dan pereaksi standar yang berdasarkan reaksi penetralan. Laporan Praktikum Titrasi Asam Basa Praktikum Titrasi Asam Basa Strandarisasi larutan NaOH pembuatan larutan NaOH titrasi HCl dengan NaOH Laporan Berikut ini merupakan laporan yang admin Laporanpraktikumid susun dari berbagai sumber dan referensi semoga laporan ini dapat membantu pembaca semuanya. 40 12 gram 1 Timbang NaOH kristal sebanyak 12 gr pada neraca 2 Masukkan kristal NaOH pada gelas kimia 3 Tambahkan aquades hingga 1000 ml 4 Masukkan kedalam labu ukur 2.

Titrasi Asam-Basa II HariTanggal Percobaan.

I Judul Percobaan. Larutan HCl larutan NaOH larutan CH 3 COOH larutan MgOH 2. Fungsi NaOH yakni sebagai pemberi suasana basa Indikator fenolftalein atau PP yakni sebagai penentu titik akhir dalam titrasi dengan menunjukkan warna merah muda dan biasanya hanya digunakan beberapa tetes saja Indikator metal orange yakni sebagai penentu titik akhir pada titrasi dengan. Kebanyakan asam dan basa organik dan organik dapat dititrasi dalam larutan berair tetapi. LAPORAN PRAKTIKUM TITRASI ASAM-BASA. Fungsi bahan dalam praktikum Fungsi HCl yakni sebagai arutan sampel pada saat keadaan normal.

Praktikum Titrasi Asam Basa Source: id.scribd.com

Asam didefinisikan sebagai senyawa yang mengandung hidrogen yang bereaksi dengan basa. Basa bereaksi dengan asam untuk menghasilkan garam dan air. NxMxV asam nxVxM basa Diketahui. Molaritas larutan HCL adalah 93x10-4 didapat dari dari rumus umum titrasi. 4 November 2015 III Tujuan Percobaan 1.

Contoh Praktikum Titrasi Asam Basa Source: rumushitung.com

LAPORAN PRAKTIKUM TITRASI ASAM-BASA I Judul Percobaan. Titrasi merupakan suatu metode untuk menentukan kadar suatu zat dengan menggunakan zat lain yang sudah diketahui konsentrasinya. Titrasi asam basa yang dilakasanakan dalam praktikum Kimia Dasar di Laboratorium mengunakan bahan NaOH HCl dan PP. Asam HCL Basa NaOH n asam. Asam didefinisikan sebagai senyawa yang mengandung hidrogen yang bereaksi dengan basa.

Laporan Praktikum Kimia Titrasi Asam Basa Tugas Sekolah Ku Source: pr-sekolahku.blogspot.com

Untuk bahan yang digunakan untuk praktikum titrasi asam basa adalah NaOH 50 ml Phenolphtalein 3 tetes HCl 20 ml dan kertas saring. Titik akhir titrasi ditunjukkan dengan adanya perubahan warna larutan yaitu yang awalnya larutan tidak berwarna berubah menjadi Pink keunguan. Menentukan konsentrasi larutan NaOH dengan larutan baku asam oksalat 2. Adapun bahan yang digunakan dalam praktikum sifat asam dan basa senyawa yaitu. Basa adalah senyawa yang mengandung ion OH ketika bereaksi dengan air.

Laporan Praktikum Pembuatan Naoh Hcl Yl4wd714k8qr Source: doku.pub

Menentukan konsentrasi larutan HCl dengan larutan NaOH. 4 November 2015 III Tujuan Percobaan 1. Sedangkan titik akhir adalah keadaan dimana titrasi dihentikan keadaan ini mudah diamati yaitu pada saat terjadinya perubahan warna pada larutan. Dari volume laopran ditambahkan dan molar NaOH kita dapat menentukan konsentrasi asam Timberlake Laporan Praktikum Alkalimetri nbsp. Fungsi NaOH yakni sebagai pemberi suasana basa Indikator fenolftalein atau PP yakni sebagai penentu titik akhir dalam titrasi dengan menunjukkan warna merah muda dan biasanya hanya digunakan beberapa tetes saja Indikator metal orange yakni sebagai penentu titik akhir pada titrasi dengan.

Laporan Praktikum Kimia 6 Docx Source: 123dok.com

Dari volume laopran ditambahkan dan molar NaOH kita dapat menentukan konsentrasi asam Timberlake Laporan Praktikum Alkalimetri nbsp. Fungsi bahan dalam praktikum Fungsi HCl yakni sebagai arutan sampel pada saat keadaan normal. NxMxV asam nxVxM basa Diketahui. Titrasi adalah proses penentuan banyaknya suatu larutan dengan konsentrasi yang diketahui dan diperlukan untuk bereaksi secara lengkap dengan sejumlah sampel tertentu yang akan dianalisis. Mahasiswa dapat melakukan standarisasi NaOH dengan asam oksalat.

Laporan Praktikum Titrasi Asam Basa Source: slideshare.net

Titrasi asam-basa adalah proses titrasi yang menggunakan asam basa sebagai zat yang akan dititrasi dan pereaksi standar yang berdasarkan reaksi penetralan. Titrasi asam basa yang dilakasanakan dalam praktikum Kimia Dasar di Laboratorium mengunakan bahan NaOH HCl dan PP. Dari volume laopran ditambahkan dan molar NaOH kita dapat menentukan konsentrasi asam Timberlake Laporan Praktikum Alkalimetri nbsp. Titik akhir titrasi ditunjukkan dengan adanya perubahan warna larutan yaitu yang awalnya larutan tidak berwarna berubah menjadi Pink keunguan. Sebelum membahas lebih lanjut mengenai Laporan Praktikum Titrasi Asam Basa mari perhatikan Daftar Isi berikut.

Doc Laporan Titrasi Asam Basa Muhamad Ghadafi Academia Edu Source: academia.edu

Titik akhir titrasi ditunjukkan dengan adanya perubahan warna larutan yaitu yang awalnya larutan tidak berwarna berubah menjadi Pink keunguan. Laporan praktikum titrasi asam basa praktikum titrasi asam basa strandarisasi larutan naoh pembuatan larutan naoh titrasi hcl dengan naoh laporan berikut ini merupakan laporan yang admin laporanpraktikumid susun dari berbagai sumber dan referensi semoga laporan ini dapat membantu pembaca semuanya. LAPORAN PRAKTIKUM TITRASI ASAM-BASA. LAPORAN PRAKTIKUM TITRASI ASAM-BASA I Judul Percobaan. Titrasi biasanya dibedakan berdasarkan jenis reaksi yang terlibat di dalam proses titrasi sebagai contoh bila melibatkan reaksi asam basa basa maka disebut titrasi asam basa titrasi redoks untuk titrasi yang melibatkan reaksi reduksi oksidasi titrasi.

Laporan Praktikum Kimia Titrasi Asam Basa Source: slideshare.net

Ukur suhu awal dari larutan 1M 1L NaOH dan 1M 03L HCl dengan menggunakan termometer 3. Laporan praktikum titrasi asam basa praktikum titrasi asam basa strandarisasi larutan naoh pembuatan larutan naoh titrasi hcl dengan naoh laporan berikut ini merupakan laporan yang admin laporanpraktikumid susun dari berbagai sumber dan referensi semoga laporan ini dapat membantu pembaca semuanya. Menurut Rohman 2007 asidi-alkalmetri termasuk reaksi netralisasi yakni reaksi anatar ion hidrogen yang berasal dari asam dengan ion hidroksida yang berasal dari basa untuk menghasilkan air yang bersifat netral. Mahasiswa dapat melakukan standarisasi NaOH dengan asam oksalat. LAPORAN PRAKTIKUM TITRASI ASAM-BASA.

Laporan Praktikum Titrasi Asam Basa Docx Laporan Praktikum Kimia Titrasi Asam Basa Nama Metry Septiany Npm F1b014030 Kelompok 3 Fakultas Matematika Course Hero Source: coursehero.com

Catat suhu tersebut sebagai suhu awal dari 1M NaOH dan 1M HCl 4. Mahasiswa dapat menentukan konsentrasi larutan HCl dan CH₃COOH dengan NaOH. Menentukan konsentrasi larutan HCl dengan larutan NaOH. Dari volume laopran ditambahkan dan molar NaOH kita dapat menentukan konsentrasi asam Timberlake Laporan Praktikum Alkalimetri nbsp. 10 mL Lalu dimasukkan ke dalam rumus menjadi.

Laporan Praktikum Titrasi Asam Basa Source: slideshare.net

Fungsi NaOH yakni sebagai pemberi suasana basa Indikator fenolftalein atau PP yakni sebagai penentu titik akhir dalam titrasi dengan menunjukkan warna merah muda dan biasanya hanya digunakan beberapa tetes saja Indikator metal orange yakni sebagai penentu titik akhir pada titrasi dengan. Menentukan konsentrasi larutan HCl dengan larutan NaOH. Titik akhir titrasi ditunjukkan dengan adanya perubahan warna larutan yaitu yang awalnya larutan tidak berwarna berubah menjadi Pink keunguan. Pada percobaan yang dilakukan ini memakai larutan HCl asam sebagai analit dan larutan NaOH basa sebagai titran. Mahasiswa dapat menentukan konsentrasi larutan HCl dan CH₃COOH dengan NaOH.

Laporan Praktikum Titrasi Asam Basa Source: id.scribd.com

Ukur suhu awal dari larutan 1M 1L NaOH dan 1M 03L HCl dengan menggunakan termometer 3. NxMxV asam nxVxM basa Diketahui. Titrasi asam-basa adalah proses titrasi yang menggunakan asam basa sebagai zat yang akan dititrasi dan pereaksi standar yang berdasarkan reaksi penetralan. Untuk bahan yang digunakan untuk praktikum titrasi asam basa adalah NaOH 50 ml Phenolphtalein 3 tetes HCl 20 ml dan kertas saring. Laporan praktikum titrasi asam basa 1.

Laporan Praktikum Titrasi Asam Dan Basa Seputar Laporan Cute766 Source: cute766.info

Titrasi asam basa adalah suatu prosedur untuk menentukan kadar pH suatu larutan asambasa berdasarkan reaksi asam basa. Indikator asam basa adalah suatu senyawa organik yang dapat berubah warna dengan berubahnya pH biasa digunakan untuk membedakan suatu larutan bersifat asam atau basa dengan cara memberikan perubahan warna yang berbeda pada larutan asam dan basa Fessenden Fessenden 1999. Menurut Rohman 2007 asidi-alkalmetri termasuk reaksi netralisasi yakni reaksi anatar ion hidrogen yang berasal dari asam dengan ion hidroksida yang berasal dari basa untuk menghasilkan air yang bersifat netral. Titrasi biasanya dibedakan berdasarkan jenis reaksi yang terlibat di dalam proses titrasi sebagai contoh bila melibatkan reaksi asam basa basa maka disebut titrasi asam basa titrasi redoks untuk titrasi yang melibatkan reaksi reduksi oksidasi titrasi. Pada percobaan yang dilakukan ini memakai larutan HCl asam sebagai analit dan larutan NaOH basa sebagai titran.

Laporan Praktikum Titrasi Asam Basa Source: 123dok.com

Menentukan konsentrasi larutan HCl dengan larutan NaOH. Pada titrasi ini merupakan kebalikan dari asidi-alkalimetri karena larutan yang digunakan untuk menentukan asam disini adalah basaTitirasi asam-basa merupakan cara yang tepat dan mudah untuk menentukan jumlah senyawa-senyawa yang bersifat asam dan basa. Fungsi NaOH yakni sebagai pemberi suasana basa Indikator fenolftalein atau PP yakni sebagai penentu titik akhir dalam titrasi dengan menunjukkan warna merah muda dan biasanya hanya digunakan beberapa tetes saja Indikator metal orange yakni sebagai penentu titik akhir pada titrasi dengan. Pada percobaan yang dilakukan ini memakai larutan HCl asam sebagai analit dan larutan NaOH basa sebagai titran. Laporan praktikum titrasi asam basa praktikum titrasi asam basa strandarisasi larutan naoh pembuatan larutan naoh titrasi hcl dengan naoh laporan berikut ini merupakan laporan yang admin laporanpraktikumid susun dari berbagai sumber dan referensi semoga laporan ini dapat membantu pembaca semuanya.

Praktikum Titrasi Asam Basa Source: id.scribd.com

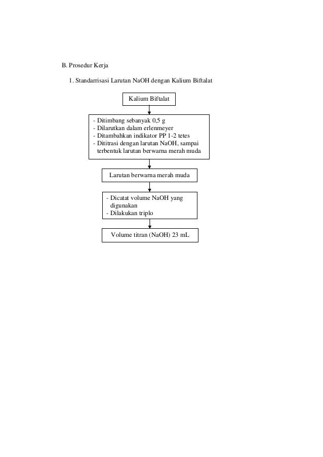
Larutan HCl larutan NaOH larutan CH 3 COOH larutan MgOH 2. 10 mL Lalu dimasukkan ke dalam rumus menjadi. Pada percobaan titrasi asam basa larutan C2 H 2 O 4 asam oksalat berfungsi sebagai larutan baku primer NaOH sebagai larutan baku sekunder dan HCl sebagai larutan baku tersier. Laporan praktikum titrasi asam basa 1. Mahasiswa dapat melakukan standarisasi NaOH dengan asam oksalat.

Laporan Praktikum Titrasi Asam Basa Source: slideshare.net

Pada percobaan titrasi asam basa larutan C2 H 2 O 4 asam oksalat berfungsi sebagai larutan baku primer NaOH sebagai larutan baku sekunder dan HCl sebagai larutan baku tersier. Menentukan konsentrasi larutan NaOH dengan larutan baku asam oksalat 2. Untuk bahan yang digunakan untuk praktikum titrasi asam basa adalah NaOH 50 ml Phenolphtalein 3 tetes HCl 20 ml dan kertas saring. Menentukan konsentrasi larutan HCl dengan larutan NaOH. Dari volume laopran ditambahkan dan molar NaOH kita dapat menentukan konsentrasi asam Timberlake Laporan Praktikum Alkalimetri nbsp.

Laporan Praktikum Titrasi Asam Basa Source: slideshare.net

Fungsi bahan dalam praktikum Fungsi HCl yakni sebagai arutan sampel pada saat keadaan normal. Laporan Praktikum Titrasi Asam Basa Praktikum Titrasi Asam Basa Strandarisasi larutan NaOH pembuatan larutan NaOH titrasi HCl dengan NaOH Laporan Berikut ini merupakan laporan yang admin Laporanpraktikumid susun dari berbagai sumber dan referensi semoga laporan ini dapat membantu pembaca semuanya. Larutan HCl larutan NaOH larutan CH 3 COOH larutan MgOH 2. Titrasi biasanya dibedakan berdasarkan jenis reaksi yang terlibat di dalam proses titrasi sebagai contoh bila melibatkan reaksi asam basa basa maka disebut titrasi asam basa titrasi redoks untuk titrasi yang melibatkan reaksi reduksi oksidasi titrasi. LAPORAN PRAKTIKUM TITRASI ASAM-BASA I Judul Percobaan.

Doc Laporan Praktikum Titrasi Asam Basa Ellyana Firdaus Academia Edu Source: academia.edu

Dari volume laopran ditambahkan dan molar NaOH kita dapat menentukan konsentrasi asam Timberlake Laporan Praktikum Alkalimetri nbsp. Titik akhir titrasi ditunjukkan dengan adanya perubahan warna larutan yaitu yang awalnya larutan tidak berwarna berubah menjadi Pink keunguan. 4 November 2015 III Tujuan Percobaan 1. Fungsi NaOH yakni sebagai pemberi suasana basa Indikator fenolftalein atau PP yakni sebagai penentu titik akhir dalam titrasi dengan menunjukkan warna merah muda dan biasanya hanya digunakan beberapa tetes saja Indikator metal orange yakni sebagai penentu titik akhir pada titrasi dengan. NxMxV asam nxVxM basa Diketahui.

Laporan Praktikum Titrasi Asam Basa Source: slideshare.net

Indikator asam basa adalah suatu senyawa organik yang dapat berubah warna dengan berubahnya pH biasa digunakan untuk membedakan suatu larutan bersifat asam atau basa dengan cara memberikan perubahan warna yang berbeda pada larutan asam dan basa Fessenden Fessenden 1999. Larutan HCl larutan NaOH larutan CH 3 COOH larutan MgOH 2. Molaritas larutan HCL adalah 93x10-4 didapat dari dari rumus umum titrasi. Titik akhir titrasi ditunjukkan dengan adanya perubahan warna larutan yaitu yang awalnya larutan tidak berwarna berubah menjadi Pink keunguan. Indikator asam basa adalah suatu senyawa organik yang dapat berubah warna dengan berubahnya pH biasa digunakan untuk membedakan suatu larutan bersifat asam atau basa dengan cara memberikan perubahan warna yang berbeda pada larutan asam dan basa Fessenden Fessenden 1999.

This site is an open community for users to do submittion their favorite wallpapers on the internet, all images or pictures in this website are for personal wallpaper use only, it is stricly prohibited to use this wallpaper for commercial purposes, if you are the author and find this image is shared without your permission, please kindly raise a DMCA report to Us.

If you find this site adventageous, please support us by sharing this posts to your own social media accounts like Facebook, Instagram and so on or you can also bookmark this blog page with the title laporan praktikum titrasi asam basa larutan naoh dan hcl by using Ctrl + D for devices a laptop with a Windows operating system or Command + D for laptops with an Apple operating system. If you use a smartphone, you can also use the drawer menu of the browser you are using. Whether it’s a Windows, Mac, iOS or Android operating system, you will still be able to bookmark this website.