free web stats

Laporan Praktikum Venturimeter Tanpa Manometer

» » Laporan Praktikum Venturimeter Tanpa Manometer

Laporan Praktikum Venturimeter Tanpa Manometer - Pada pipa mendatar horizontal tekanan fluida yang paling besar adalah pada bagian kelajuan alirnya paling kecil dan tekanan paling kecil adalah pada bagian kelajuan alirnya paling besar. Molekul-molekul didalam fluida mempunyai kebebasan lebih besar. Venturimeter adalah sebuah alat yang bernama pipa venturi.

Laporan praktikum venturimeter tanpa manometer. 91936548 Tabung Venturi Dan Tabung Pitot Ppt Pdf Document. Laporan 4 Pipa Venturi. Pipa venturi merupakan sebuah pipa yang memiliki penampang bagian tengahnya lebih sempit dan diletakkan. Venturimeter Tabung venturi adalah dasar dari venturimeter yaitu alat yang dipasang di dalam suatu pipa aliran untuk mengukur kecepatan cairan.

Laporan Lengkap Percobaan Pipa Venturi Laporan Lengkap Percobaan Pipa Venturi From slideshare.net

Makalah analisis swot apotek Makalah asuransi syariah takaful Latihan soal laporan hasil observasi kelas 10 Makalah akuntansi keuangan pdf

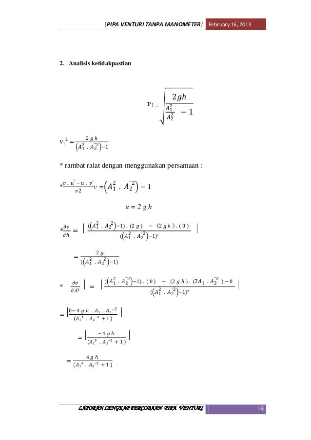
Dionisius andy kristanto nrp 2412 100 106 asisten murdiono nrp 2409 100 097 program studi s1 teknik fisika jurusan teknik fisika fakultas teknologi industri institut teknologi sepuluh nopember surabaya 2014 i daftar pustaka sobarnaagus2010instrumentasi-sensor aliran fluidabandung 32 laporan resmi. 91936548 Tabung Venturi Dan Tabung Pitot Ppt Pdf Document. Venturimeter Tanpa Manometer Gambar diatas menunjukkan sebuah venturimeter yang digunakan untuk mengukur kelajuan aliran dalam sebuah pipa. Untuk menentukan kelajuan aliran v1 dinyatakan dalam besaran-besaran luas penampang A1 dan A2 serta perbedaan ketinggian zat cair pada tabung U yang berisi raksa h. TujuanTujuan percobaan ini adalah. Venturimeter Tanpa Manometer Prinsip Kerja Venturimeter tanpa manometer ini berdasar pada Asas Bernoulli yang berbunyi.

Untuk menentukan kelajuan aliran v1 dinyatakan dalam besaran-besaran luas penampang A1 dan A2 serta perbedaan ketinggian zat cair pada tabung U yang berisi raksa h.

Venturimeter adalah sebuah alat yang bernama pipa venturi. Ada dua jenis venturimeter yaitu venturimeter tanpa manometer dan venturimeter menggunakan manometer yang berisi zat cair lain. Pipa venturi tanpa manometer dan pipa venturi dengan manometer. Menunjukkan pengaruh perubahan penampang terhadap tinggi garis hidraulik pada masing-masing manometer. Venturimeter digunakan sebagai pengukur volume fluida misalkan udara yang mengalir tiap detik. Prinsip Kerja Venturimeter tanpa manometer ini berdasar pada Asas Bernoulli yang berbunyi.

Http Ekscerita Blogspot Com 2015 11 Laporan Praktikum Asas Bernouli Pada Html Source:

TujuanTujuan percobaan ini adalah. B Penerapan hukum Bernoulli antara lain gaya angkat pada pesawat terbang venturimeter pipa pitot dan penyemprot nyamuk. Pipa venturi tanpa manometer dan pipa venturi dengan manometer. Pada pipa mendatar horizontal tekanan fluida yang paling besar adalah pada bagian kelajuan alirnya paling kecil dan tekanan paling kecil adalah pada bagian kelajuan alirnya paling besar. Contoh Soal Venturimeter Tanpa Manometer Dan Pembahasannya.

Contoh Soal Venturimeter Dengan Manometer Dapatkan Contoh Source: dapatkancontoh.blogspot.com

TITRASI ASAM - BASA LAPORAN PRAKTIKUM KIMIA Disusun guna memenuhi tugas praktikum bab 2 Disusun Oleh. Prinsip Kerja Venturimeter tanpa manometer ini berdasar pada Asas Bernoulli yang berbunyi. Pada pipa mendatar horizontal tekanan fluida yang paling besar adalah pada bagian kelajuan alirnya paling kecil dan tekanan paling kecil adalah pada bagian kelajuan alirnya paling besar. Pipa venturi merupakan salah satu alat yang menggunakan prinsip Bernoulli ada dua jenis pipa venturi diantaranya. Untuk menentukan kelakuan aliran v 1 dinyatakan dalam besaran-besaran luas penampang A 1 dan A 2 serta perbedaan ketinggian zat cair dalam kedua tabung vertikal h.

Laporan Lengkap Percobaan Pipa Venturi Source: slideshare.net

Perusahaan air minum menggunakan venturimeter untuk menghitung laju aliran air yang mengali dalam pipa. Ada dua jenis venturimeter yaitu venturimeter tanpa manometer dan venturimeter menggunakan manometer yang berisi zat cair lain. Venturimeter digunakan sebagai pengukur volume fluida misalkan udara yang mengalir tiap detik. Soal Dan Pembahasan Fluida Dinamis. Prinsip Kerja Venturimeter tanpa manometer ini berdasar pada Asas Bernoulli yang berbunyi.

Http Yokirachmansyah Blogspot Com 2015 12 Aplikasi Bernoulli Venturimeter Tanpa Html Source:

Soal Dan Pembahasan Fluida Dinamis. Pada pipa mendatar horizontal tekanan fluida yang paling besar adalah pada bagian kelajuan alirnya paling kecil dan tekanan paling kecil adalah pada bagian kelajuan alirnya paling besar Makalah ini disusun dalam rangka memenuhi tugas mata kuliah alat ukur dan pengukuran. Melalui pengamatan pada venturimeter dapat dibuktikan pula persamaan Bernoulli dan kontinuitas. TujuanTujuan percobaan ini adalah. Ada dua jenis venturimeter yaitu venturimeter tanpa manometer dan venturimeter menggunakan manometer yang berisi zat cair lain.

Prolog Materi Prinsip Kerja Rumus Venturimeter Dengan Manometer Zenius Net Source: zenius.net

Aplikasi Bernoulli Venturimeter Tanpa Manometer Masih pada Aplikasi Bernoulli saya akan membahas tentang Aplikasi Bernoulli Tanp. Tujuan Tujuan percobaan ini adalah. B Penerapan hukum Bernoulli antara lain gaya angkat pada pesawat terbang venturimeter pipa pitot dan penyemprot nyamuk. Prinsip Kerja Venturimeter tanpa manometer ini berdasar pada Asas Bernoulli yang berbunyi. Intan Wahyu Ningsih 13 KELAS XI G MIPA SEKOLAH MENENGAH ATAS NEGERI 1 BATANG TAHUN PELAJARAN 20152016 KATA PENGANTAR Puji syukur kami panjatkan kehadirat Allah SWT atas segala rahmat taufiq dan hidayah-Nya sehingga kami dapat.

Venturimeter Tanpa Manometer Fluida Dinamis 5 Youtube Source: youtube.com

Tujuan Tujuan percobaan ini adalah. Pada makalah ini penulis membahas venturimeter menggunakan manometer yang berisi zat cair lain. TujuanTujuan percobaan ini adalah. Perusahaan air minum menggunakan venturimeter untuk menghitung laju aliran air yang mengali dalam pipa. Tujuan Tujuan percobaan ini adalah.

Laporan Lengkap Percobaan Pipa Venturi Source: slideshare.net

Melalui pengamatan pada venturimeter dapat dibuktikan pula persamaan Bernoulli dan kontinuitas. Ada dua jenis venturimeter yaitu venturimeter tanpa manometer dan venturimeter menggunakan manometer yang berisi zat cair lain. Pipa venturi merupakan sebuah pipa yang memiliki penampang bagian tengahnya lebih sempit dan diletakkan. Apabila kecepatan fluida semakin kecil maka tekanannya akan semakin besar terbukti pada percobaan pipa venturi dengan manometer yang dilakukan oleh praktikanDokumentasiBernoulli diantaranya. Melalui pengamatan pada venturimeter dapat dibuktikan pula persamaan Bernoulli dan kontinuitas.

Laporan Lengkap Percobaan Pipa Venturi Source: slideshare.net

Pipa venturi tanpa manometer dan pipa venturi dengan manometer. Alat Ukur Aliran Menggunakan Venturimeter. Venturimeter Tanpa Manometer by Fina Sarah Adhari - October 15 2017 Venturimeter digunakan untuk mengukur laju aliran fluida. Contoh Soal Venturimeter Tanpa Manometer Dan Pembahasannya. Pipa venturi merupakan salah satu alat yang menggunakan prinsip Bernoulli ada dua jenis pipa venturi diantaranya.

Laporan Lengkap Percobaan Pipa Venturi Source: slideshare.net

Laporan resmi praktikum sistem instrumentasi p1 percobaan flowmeter disusun oleh. Alat Ukur Aliran Menggunakan Venturimeter. Untuk menentukan kelajuan aliran v1 dinyatakan dalam besaran-besaran luas penampang A1 dan A2 serta perbedaan ketinggian zat cair pada tabung U yang berisi raksa h. Pada makalah ini penulis membahas venturimeter menggunakan manometer yang berisi zat cair lain. Melalui pengamatan pada venturimeter dapat dibuktikan pula persamaan Bernoulli dan kontinuitas.

Pengertian Venturimeter Source: id.scribd.com

Untuk menentukan kelakuan aliran v 1 dinyatakan dalam besaran-besaran luas penampang A 1 dan A 2 serta perbedaan ketinggian zat cair dalam kedua tabung vertikal h. Venturimeter adalah alat untuk mengukur debit cairan yang melalui pipa tertutup. Yang akan digunakan disini adalah venturimeter menggunakan manometer yang berisi zat cair lain. Pada makalah ini penulis membahas venturimeter menggunakan manometer yang berisi zat cair lain. Ada dua jenis venturimeter yaitu venturimeter tanpa manometer dan venturimeter menggunakan manometer yang berisi zat cair lain.

Venturimeter Source: id.scribd.com

Intan Wahyu Ningsih 13 KELAS XI G MIPA SEKOLAH MENENGAH ATAS NEGERI 1 BATANG TAHUN PELAJARAN 20152016 KATA PENGANTAR Puji syukur kami panjatkan kehadirat Allah SWT atas segala rahmat taufiq dan hidayah-Nya sehingga kami dapat. Dionisius andy kristanto nrp 2412 100 106 asisten murdiono nrp 2409 100 097 program studi s1 teknik fisika jurusan teknik fisika fakultas teknologi industri institut teknologi sepuluh nopember surabaya 2014 i daftar pustaka sobarnaagus2010instrumentasi-sensor aliran fluidabandung 32 laporan resmi. Prinsip Kerja Venturimeter tanpa manometer ini berdasar pada Asas Bernoulli yang berbunyi. PIPA VENTURI TANPA MANOMETER February 16 2013 BAB I PENDAHULUANALatar Belakang Secara makroskopikmateri dapat digolongkan kedalam benda padat dan fluidaSuatu fluida adalah suatu zat yang dapat mengalirJadi zat cair dan gas adalahfluida. LAPORAN FISIKA PRAKTIKUM VENTURIMETER PIPA VENTURI DISU SUN OLE H.

Makalah Fisika Tabung Venturi Dan Tabung Pitot Pdf Free Download Source: docplayer.info

Laporan resmi praktikum sistem instrumentasi p1 percobaan flowmeter disusun oleh. Venturimeter Tanpa Manometer by Fina Sarah Adhari - October 15 2017 Venturimeter digunakan untuk mengukur laju aliran fluida. Perusahaan air minum menggunakan venturimeter untuk menghitung laju aliran air yang mengali dalam pipa. Contoh Soal Venturimeter Tanpa Manometer Dan Pembahasannya. 91936548 Tabung Venturi Dan Tabung Pitot Ppt Pdf Document.

Tugas Fisika Venturimeter Source: id.scribd.com

Molekul-molekul didalam fluida mempunyai kebebasan lebih besar. Venturimeter digunakan sebagai pengukur volume fluida misalkan udara yang mengalir tiap detik. Pipa venturi tanpa manometer dan pipa venturi dengan manometer. Laporan 4 Pipa Venturi. Sesuai dengan soal peralatan yang prinsip kerjanya berdasarkan hukum Bernoulli adalah 1 gaya angkat pada pesawat terbang dan 3 penyemprot nyamuk.

Contoh Soal Venturimeter Dengan Manometer Dapatkan Contoh Source: dapatkancontoh.blogspot.com

Soal Dan Pembahasan Fluida Dinamis. PIPA VENTURI TANPA MANOMETER February 16 2013 BAB I PENDAHULUANALatar Belakang Secara makroskopikmateri dapat digolongkan kedalam benda padat dan fluidaSuatu fluida adalah suatu zat yang dapat mengalirJadi zat cair dan gas adalahfluida. LAPORAN FISIKA PRAKTIKUM VENTURIMETER PIPA VENTURI DISU SUN OLE H. Prinsip Kerja Mekanisme Kerja 1. Perusahaan air minum menggunakan venturimeter untuk menghitung laju aliran air yang mengali dalam pipa.

Alat Peraga Pembelajaran Sederhana Model Venturimeter Source: sman1pangururan.sch.id

Venturimeter adalah alat untuk mengukur debit cairan yang melalui pipa tertutup. TujuanTujuan percobaan ini adalah. Perusahaan air minum menggunakan venturimeter untuk menghitung laju aliran air yang mengali dalam pipa. PIPA VENTURI TANPA MANOMETER February 16 2013 BAB I PENDAHULUANALatar Belakang Secara makroskopikmateri dapat digolongkan kedalam benda padat dan fluidaSuatu fluida adalah suatu zat yang dapat mengalirJadi zat cair dan gas adalahfluida. Ada dua jenis venturimeter yaitu venturimeter tanpa manometer dan venturimeter menggunakan manometer yang berisi zat cair lain.

Laporan Lengkap Percobaan Pipa Venturi Source: slideshare.net

Pada makalah ini penulis membahas venturimeter menggunakan manometer yang berisi zat cair lain. Melalui pengamatan pada venturimeter dapat dibuktikan pula persamaan Bernoulli dan kontinuitas. Venturimeter Tanpa Manometer by Fina Sarah Adhari - October 15 2017 Venturimeter digunakan untuk mengukur laju aliran fluida. Venturimeter dapat dipakai untuk mengukur laju aliran fluida misalnya menghitung laju aliran air atau minyak yang mengalir melalui pipaVenturimeter digunakan sebagai pengukur volume fluida misalkan minyak yang mengalir tiap detik. Soal Dan Pembahasan Fluida Dinamis.

Laporan Lengkap Percobaan Pipa Venturi Source: slideshare.net

Venturimeter Tabung venturi adalah dasar dari venturimeter yaitu alat yang dipasang di dalam suatu pipa aliran untuk mengukur kecepatan cairan. Venturimeter Tabung venturi adalah dasar dari venturimeter yaitu alat yang dipasang di dalam suatu pipa aliran untuk mengukur kecepatan cairan. TujuanTujuan percobaan ini adalah. Venturimeter Tanpa Manometer Gambar diatas menunjukkan sebuah venturimeter yang digunakan untuk mengukur kelajuan aliran dalam sebuah pipa. Alat Ukur Aliran Menggunakan Venturimeter.

Makalah Fisika Tabung Venturi Dan Tabung Pitot Pdf Free Download Source: docplayer.info

Venturimeter Tabung venturi adalah dasar dari venturimeter yaitu alat yang dipasang di dalam suatu pipa aliran untuk mengukur kecepatan cairan. Tujuan Tujuan percobaan ini adalah. Perhatikan Gambar Venturimeter Tanpa Manometerdi Bawah Ini A1. Yang akan digunakan disini adalah venturimeter menggunakan manometer yang berisi zat cair lain. Venturimeter adalah alat untuk mengukur debit cairan yang melalui pipa tertutup.

This site is an open community for users to do sharing their favorite wallpapers on the internet, all images or pictures in this website are for personal wallpaper use only, it is stricly prohibited to use this wallpaper for commercial purposes, if you are the author and find this image is shared without your permission, please kindly raise a DMCA report to Us.

If you find this site good, please support us by sharing this posts to your own social media accounts like Facebook, Instagram and so on or you can also save this blog page with the title laporan praktikum venturimeter tanpa manometer by using Ctrl + D for devices a laptop with a Windows operating system or Command + D for laptops with an Apple operating system. If you use a smartphone, you can also use the drawer menu of the browser you are using. Whether it’s a Windows, Mac, iOS or Android operating system, you will still be able to bookmark this website.